Kaedah Alternatif
- Kita sudah lihat bahawa adakalanya kita boleh selesaikan persamaan kuadratik tanpa pemfaktoran
- a)

b)
|
| Penerangan |
c)
|
d)
|
| Penerangan |
e)
|
- Melihat contoh-contoh di atas,
Penyempurnaan kuasa dua
Isikan tempat kosong
|
|
|
|
|
|
|
|
|
|
|
|
|
|
|
- Nota :
|
|
|
|
- Mengapakah kita mahu melakukan proses yang begitu susah?
|
Contoh (Penyempurnaan Kuasa Dua)

- Analisis :
| Mulakan dengan |
Formula
- Kita lihat banyak langkah diperlukan di atas. Jadi adakah kita mengulang setiap langkah untuk setiap soalan yang berlainan?
| Kita mula dengan persamaan kuadratik yang umum |
|
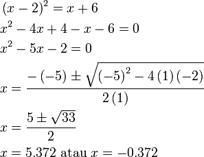
Contoh (Formula)
Kira betul kepada 3 tempat perpuluhan
| Penerangan |
a)
|
b)
|
- Nota :
- c)

- d)

- e)

Penggunaan kalkulator
Boleh guna kalkulator untuk tentukan cara yang patut digunakan dengan cepat
- kalau ada
, bermaksud tiada punca nyata








?



ialah sifar juga, jadi



,
boleh dipunca kuasa duakan dengan tepat tetapi
tidak
perlu ditekan sebagai
atau
kerana
akan ditafsir sebagai
oleh kebanyakkan kalkulator









) hanya di










darab 2







darab 2 akan beri balik 










































yang ekstra




























jauh lebih ringkas dari
?






di kedua-dua belah




ialah satu.
)
































untuk soalan ini untuk mengurangkan kesilapan mengganti
) dan bundar ke t.p. yang diperlukan

















dari formula dan
dari nilai
sendiri





boleh ditukar ke bentuk pecahan dengan butang 
tidak boleh ditukar kepada bentuk pecahan (boleh cuba tekan butang 