Formula Indeks
|
|
|
|
|
|
|
|
|
|
|
- Perhatikan sebelah kanan mempunyai bentuk
Perhatikan
- Nota
Nombor-nombor lazim
- Asas
: - Asas
: - Asas
:
Contoh
Persamaan Indeks
- Jika
Contoh Ringkas
- Nota :
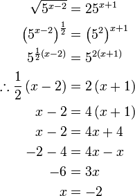
Contoh Mudah
Selesaikan
a)
|
| Penerangan |
- b)
- c)
- d)
- e)
- f)
Tukar kepada bentuk 
Oleh kerana kita perlukan persamaan dalam bentuk
sebelum kita boleh samakan indeks, adakalanya kita perlu mengabungkan beberapa sebutan supaya menjadi sebutan tunggal. Cuba tukar yang berikut dengan berhati-hati
Selesaikan
a)
|
| Penerangan |
- Perhatikan
- b)
- c)
- d)
Menambah/Menolak 
Adakah penyataan di bawah betul?
Bagaimana pula dengan penyataan di bawah?
sebenarnya?
Jadi
Tukar ke dalam sebutan
Perhatikan
hanya boleh ditambah/ditolak dengan
, jadi adakalanya kita perlu membuat pertukaran sebelum kita boleh tambah tolak
- Ingat bahawa
- Jadi
Bagaimana pula dengan penyataan di bawah?
sebenarnya?
Menambah Sebutan Serupa
Mari kita ulangkajiJadi
Tukar ke dalam sebutan 
Perhatikan
hanya boleh ditambah/ditolak dengan
, jadi adakalanya kita perlu membuat pertukaran sebelum kita boleh tambah tolak
|
| Penerangan |
Ringkaskan
|
| Penerangan |
Bonus
Tukar ke dalam sebutan
Ringkaskan
Kaedah hapuskan pecahan dari persamaan
- Kita juga boleh menghapuskan semua pecahan dari persamaan supaya tidak perlu membuat pengiraan tersebut
Selesaikan
a)
|
| Penerangan |
- b)
c)
|
| Penerangan |
- d)
Bandingkan Jenis Soalan
Bandingkan jalan kerja
- a)

- b)







( asas kuasa sesuatu )





























. Paling baik tukar dalam beberapa langkah. Apapun ingat semak jawapan akhir dengan kalkulator untuk memastikan tiada kesilapan.



ditukar dalam asas
(dengan kuasa integer)? 



bila guna kalkulator



dan bukannya 



ditulis sebagai
dan bukannya 
darab
dan bukannya 


kepada
,
tetap disalin dan kurungan diperlukan
yang bermaksud 
atau 


















ke dalam
?

untuk memastikan samaada kesilapan berlaku dalam menyelesaikan
jadi sah pengiraan
yang salah jadi kira semula 
sudah salah jadi semak langkah awal SEBELUM mendapat persamaan ini.













TIDAK berubah

TIDAK berubah
atau
atau
?
?
?
tidak boleh dibuat apa-apa lagi

























dulu








dengan 

























juga bukan asas 2, tetapi ini bukan sebab utama kita tidak boleh guna cara tersebut.
bolehlah dipindah secara biasa dahulu
?














semuanya asas 2,





